Ở một mặt nước (đủ rộng), tại điểm O có một nguồn sóng dao động theo phương thẳng
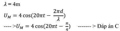
Ở một mặt nước (đủ rộng), tại điểm O có một nguồn sóng dao động theo phương thẳng đứng với phương trình u0 = 4cos20πt (u tính bằng cm, t tính bằng s). Tốc độ truyền sóng trên mặt nước là 40 m/s, coi biên độ sóng không đổi khi sóng truyền đi. Phương trình dao động của phần tử nước tại điểm M (ở mặt nước), cách O một khoảng 50 cm là:
Đáp án đúng là: C
Quảng cáo
Đáp án cần chọn là: C
>> 2K9 Chú ý! Lộ Trình Sun 2027 - 1 lộ trình ôn đa kỳ thi (TN THPT, ĐGNL (Hà Nội/ Hồ Chí Minh), ĐGNL Sư Phạm, ĐGTD, ĐGNL Bộ Công an, ĐGNL Bộ Quốc phòngTD - Click xem ngay) tại Tuyensinh247.com. Cập nhật bám sát bộ SGK mới, Thầy Cô giáo giỏi, 3 bước chi tiết: Nền tảng lớp 12; Luyện thi chuyên sâu; Luyện đề đủ dạng đáp ứng mọi kì thi.
![]() |
![]() |
![]() |
![]() |
![]() |
![]() |
![]() |
![]() |
Hỗ trợ - Hướng dẫn
-
024.7300.7989
-
1800.6947
(Thời gian hỗ trợ từ 7h đến 22h)
Email: lienhe@tuyensinh247.com













