Một con lắc lò xo nằm ngang gồm lò xo có độ cứng k và vật nặng khối lượng m. Kéo vật rời
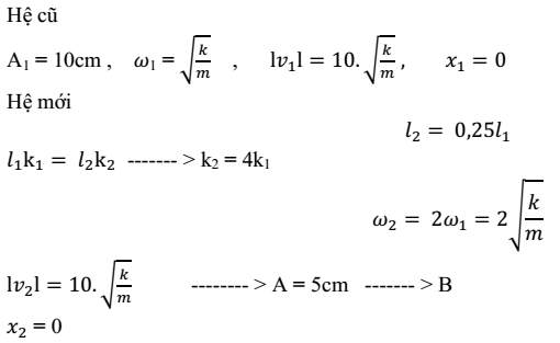
Một con lắc lò xo nằm ngang gồm lò xo có độ cứng k và vật nặng khối lượng m. Kéo vật rời khỏi vị trí cân bằng một đoạn 10cm rồi thả nhẹ cho vật dao động. Khi vật đi ngang qua vị trí cân bằng giữ chặt lò xo tại điểm cách vị trí gắn lò xo một đoạn bằng 0,75 chiều dài tự nhiên của lò xo. Tìm biên độ dao động của vật sau đó?
Đáp án đúng là: B
Quảng cáo
Đáp án cần chọn là: B
>> 2K9 Chú ý! Lộ Trình Sun 2027 - 1 lộ trình ôn đa kỳ thi (TN THPT, ĐGNL (Hà Nội/ Hồ Chí Minh), ĐGNL Sư Phạm, ĐGTD, ĐGNL Bộ Công an, ĐGNL Bộ Quốc phòngTD - Click xem ngay) tại Tuyensinh247.com. Cập nhật bám sát bộ SGK mới, Thầy Cô giáo giỏi, 3 bước chi tiết: Nền tảng lớp 12; Luyện thi chuyên sâu; Luyện đề đủ dạng đáp ứng mọi kì thi.
![]() |
![]() |
![]() |
![]() |
![]() |
![]() |
![]() |
![]() |
Hỗ trợ - Hướng dẫn
-
024.7300.7989
-
1800.6947
(Thời gian hỗ trợ từ 7h đến 22h)
Email: lienhe@tuyensinh247.com













