Sóng dừng trên một sợi dây có dạng: u =asinbx.cos t (mm).Trong đó x đo bằng (cm) , t đo bằng (s),
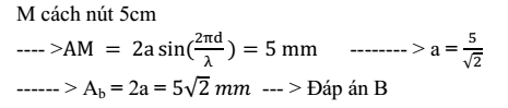
Sóng dừng trên một sợi dây có dạng: u =asinbx.cos t (mm).Trong đó x đo bằng (cm) , t đo bằng (s), cho bước sóng bằng 0,4m, biên độ dao động của một phần tử cách một nút sóng một đoạn 5cm có giá trị bằng 5mm. Biên độ A của bụng sóng bằng:
Đáp án đúng là: B
Quảng cáo
Đáp án cần chọn là: B
>> 2K9 Chú ý! Lộ Trình Sun 2027 - 1 lộ trình ôn đa kỳ thi (TN THPT, ĐGNL (Hà Nội/ Hồ Chí Minh), ĐGNL Sư Phạm, ĐGTD, ĐGNL Bộ Công an, ĐGNL Bộ Quốc phòngTD - Click xem ngay) tại Tuyensinh247.com. Cập nhật bám sát bộ SGK mới, Thầy Cô giáo giỏi, 3 bước chi tiết: Nền tảng lớp 12; Luyện thi chuyên sâu; Luyện đề đủ dạng đáp ứng mọi kì thi.
![]() |
![]() |
![]() |
![]() |
![]() |
![]() |
![]() |
![]() |
Hỗ trợ - Hướng dẫn
-
024.7300.7989
-
1800.6947
(Thời gian hỗ trợ từ 7h đến 22h)
Email: lienhe@tuyensinh247.com













