Tại A và B trên mặt nước có hai nguồn sóng kết hợp có phương trình lần lượt là: u1 =
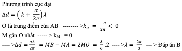
Tại A và B trên mặt nước có hai nguồn sóng kết hợp có phương trình lần lượt là: u1 = Acos(ωt) vàu2 = Acos(ωt + α). Trên đoạn thẳng nối hai nguồn, trong số những điểm dao động với biên độ dao động cực đại thì điểm M gần đường trung trực của AB nhất cách đường trung trực một khoảng bằng 1/6 bước sóng. Giá trị α có thể là:
Đáp án đúng là: B
Quảng cáo
Đáp án cần chọn là: B
>> 2K9 Chú ý! Lộ Trình Sun 2027 - 1 lộ trình ôn đa kỳ thi (TN THPT, ĐGNL (Hà Nội/ Hồ Chí Minh), ĐGNL Sư Phạm, ĐGTD, ĐGNL Bộ Công an, ĐGNL Bộ Quốc phòngTD - Click xem ngay) tại Tuyensinh247.com. Cập nhật bám sát bộ SGK mới, Thầy Cô giáo giỏi, 3 bước chi tiết: Nền tảng lớp 12; Luyện thi chuyên sâu; Luyện đề đủ dạng đáp ứng mọi kì thi.
![]() |
![]() |
![]() |
![]() |
![]() |
![]() |
![]() |
![]() |
Hỗ trợ - Hướng dẫn
-
024.7300.7989
-
1800.6947
(Thời gian hỗ trợ từ 7h đến 22h)
Email: lienhe@tuyensinh247.com













