: Ban đầu (t=0) có một mẫu chất phóng xạ nguyên chất. Ở thời điểm t1 mẫu chất phóng xạ
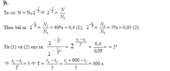
: Ban đầu (t=0) có một mẫu chất phóng xạ nguyên chất. Ở thời điểm t1 mẫu chất phóng xạ còn lại 40% hạt nhân chưa bị phân rã. Đến thời điểm t2 = t1 + 900 s thì số hạt nhân chưa bị phân rã chỉ còn 5% so với số hạt nhân ban đầu. Chu kỳ bán rã của chất đó là
Đáp án đúng là: A
Quảng cáo
Đáp án cần chọn là: A
>> 2K9 Chú ý! Lộ Trình Sun 2027 - 1 lộ trình ôn đa kỳ thi (TN THPT, ĐGNL (Hà Nội/ Hồ Chí Minh), ĐGNL Sư Phạm, ĐGTD, ĐGNL Bộ Công an, ĐGNL Bộ Quốc phòngTD - Click xem ngay) tại Tuyensinh247.com. Cập nhật bám sát bộ SGK mới, Thầy Cô giáo giỏi, 3 bước chi tiết: Nền tảng lớp 12; Luyện thi chuyên sâu; Luyện đề đủ dạng đáp ứng mọi kì thi.
![]() |
![]() |
![]() |
![]() |
![]() |
![]() |
![]() |
![]() |
Hỗ trợ - Hướng dẫn
-
024.7300.7989
-
1800.6947
(Thời gian hỗ trợ từ 7h đến 22h)
Email: lienhe@tuyensinh247.com













