Cho mạch điện xoay chiều AB gồm hai đoạn AM và MB mắc nối tiếp, đoạn AM gồm biến trở R và
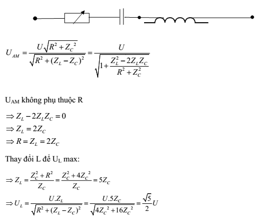
Cho mạch điện xoay chiều AB gồm hai đoạn AM và MB mắc nối tiếp, đoạn AM gồm biến trở R và tụ điện có điện dung C, đoạn MB chỉ có cuộn cảm thuần có độ tự cảm thay đổi được. Đặt vào hai đầu đoạn mạch AB một điện áp xoay chiều ổn định Ban đầu, giữ thay đổi giá trị của biến trở R ta thấy điện áp hiệu dụng giữa hai đầu đoạn mạch AM luôn không đổi với mọi giá trị của biến trở. Sau đó, giữ thay đổi L để điện áp hiệu dụng hai đầu cuộn cảm cực đại, giá trị điện áp hiệu dụng cực đại trên cuộn cảm bằng
Đáp án đúng là: B
Quảng cáo
Đáp án cần chọn là: B
>> 2K8 Chú ý! Lộ Trình Sun 2026 - 3IN1 - 1 lộ trình ôn 3 kì thi (Luyện thi 26+ TN THPT, 90+ ĐGNL HN, 900+ ĐGNL HCM, 70+ ĐGTD - Click xem ngay) tại Tuyensinh247.com.Đầy đủ theo 3 đầu sách, Thầy Cô giáo giỏi, luyện thi theo 3 giai đoạn: Nền tảng lớp 12, Luyện thi chuyên sâu, Luyện đề đủ dạng đáp ứng mọi kì thi.
![]() |
![]() |
![]() |
![]() |
![]() |
![]() |
![]() |
![]() |
Hỗ trợ - Hướng dẫn
-
024.7300.7989
-
1800.6947
(Thời gian hỗ trợ từ 7h đến 22h)
Email: lienhe@tuyensinh247.com













