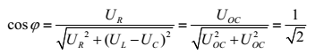
Một đoạn mạch R, L, C mắc nối tiếp. Cuộn dây thuần cảm. Gọi U0R, U0L, U0C là hiệu điện
Một đoạn mạch R, L, C mắc nối tiếp. Cuộn dây thuần cảm. Gọi U0R, U0L, U0C là hiệu điện thế cực đại ở hai đầu điện trở, hai đầu cuộn dây và hai đầu tụ điện. Biết U0L = 2U0R = 2U0C. Kết luận nào dưới đây về độ lệch pha giữa dòng điện và hiệu điện thế giữa hai đầu mạch điện là đúng:
Đáp án đúng là: D
Quảng cáo
Đáp án cần chọn là: D
>> 2K8 Chú ý! Lộ Trình Sun 2026 - 3IN1 - 1 lộ trình ôn 3 kì thi (Luyện thi 26+ TN THPT, 90+ ĐGNL HN, 900+ ĐGNL HCM, 70+ ĐGTD - Click xem ngay) tại Tuyensinh247.com.Đầy đủ theo 3 đầu sách, Thầy Cô giáo giỏi, luyện thi theo 3 giai đoạn: Nền tảng lớp 12, Luyện thi chuyên sâu, Luyện đề đủ dạng đáp ứng mọi kì thi.
![]() |
![]() |
![]() |
![]() |
![]() |
![]() |
![]() |
![]() |
Hỗ trợ - Hướng dẫn
-
024.7300.7989
-
1800.6947
(Thời gian hỗ trợ từ 7h đến 22h)
Email: lienhe@tuyensinh247.com













