Điện phân 100 ml dung dịch A chứa AgNO3 0,2M, Cu(NO3)2 0,1M và Zn(NO3)2 0,l5M với cường độ dòng
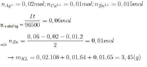
Điện phân 100 ml dung dịch A chứa AgNO3 0,2M, Cu(NO3)2 0,1M và Zn(NO3)2 0,l5M với cường độ dòng điện I = 1,34 A trong 72 phút. Số gam kim loại thu được ở catot sau điện phân là
Đáp án đúng là: D
Quảng cáo
Đáp án cần chọn là: D
>> 2K9 Chú ý! Lộ Trình Sun 2027 - 1 lộ trình ôn đa kỳ thi (TN THPT, ĐGNL (Hà Nội/ Hồ Chí Minh), ĐGNL Sư Phạm, ĐGTD, ĐGNL Bộ Công an, ĐGNL Bộ Quốc phòngTD - Click xem ngay) tại Tuyensinh247.com. Cập nhật bám sát bộ SGK mới, Thầy Cô giáo giỏi, 3 bước chi tiết: Nền tảng lớp 12; Luyện thi chuyên sâu; Luyện đề đủ dạng đáp ứng mọi kì thi.
![]() |
![]() |
![]() |
![]() |
![]() |
![]() |
![]() |
![]() |
Hỗ trợ - Hướng dẫn
-
024.7300.7989
-
1800.6947
(Thời gian hỗ trợ từ 7h đến 22h)
Email: lienhe@tuyensinh247.com













