Cho biết mỗi gen quy định một tính trạng, các gen phân li độc lập, gen trội là trội hoàn toàn
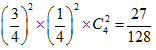
Cho biết mỗi gen quy định một tính trạng, các gen phân li độc lập, gen trội là trội hoàn toàn và không có đột biến xảy ra. Tính theo lí thuyết, phép lai AaBbDdEe × AaBbDdEe cho đời con có kiểu hình mang 2 tính trạng trội và 2 tính trạng lặn chiếm tỉ lệ
Đáp án đúng là: C
Quảng cáo
Đáp án cần chọn là: C
>> 2K9 Chú ý! Lộ Trình Sun 2027 - 1 lộ trình ôn đa kỳ thi (TN THPT, ĐGNL (Hà Nội/ Hồ Chí Minh), ĐGNL Sư Phạm, ĐGTD, ĐGNL Bộ Công an, ĐGNL Bộ Quốc phòngTD - Click xem ngay) tại Tuyensinh247.com. Cập nhật bám sát bộ SGK mới, Thầy Cô giáo giỏi, 3 bước chi tiết: Nền tảng lớp 12; Luyện thi chuyên sâu; Luyện đề đủ dạng đáp ứng mọi kì thi.
![]() |
![]() |
![]() |
![]() |
![]() |
![]() |
![]() |
![]() |
Hỗ trợ - Hướng dẫn
-
024.7300.7989
-
1800.6947
(Thời gian hỗ trợ từ 7h đến 22h)
Email: lienhe@tuyensinh247.com












