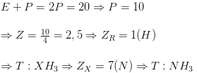
Hợp chất T được tạo bởi 4 nguyên tử của 2 nguyên tố R và X (R, X đều không phải kim loại,
Hợp chất T được tạo bởi 4 nguyên tử của 2 nguyên tố R và X (R, X đều không phải kim loại, trong đó ZR< ZX). Tổng số hạt mang điện trong một phân tử T là 20. Phát biểu sai là
Đáp án đúng là: C
Quảng cáo
Đáp án cần chọn là: C
>> 2K9 Chú ý! Lộ Trình Sun 2027 - 1 lộ trình ôn đa kỳ thi (TN THPT, ĐGNL (Hà Nội/ Hồ Chí Minh), ĐGNL Sư Phạm, ĐGTD, ĐGNL Bộ Công an, ĐGNL Bộ Quốc phòngTD - Click xem ngay) tại Tuyensinh247.com. Cập nhật bám sát bộ SGK mới, Thầy Cô giáo giỏi, 3 bước chi tiết: Nền tảng lớp 12; Luyện thi chuyên sâu; Luyện đề đủ dạng đáp ứng mọi kì thi.
![]() |
![]() |
![]() |
![]() |
![]() |
![]() |
![]() |
![]() |
Hỗ trợ - Hướng dẫn
-
024.7300.7989
-
1800.6947
(Thời gian hỗ trợ từ 7h đến 22h)
Email: lienhe@tuyensinh247.com


C sai, vì ở trạng thái kích thích thì X(N) cũng chỉ có tối đa có 3 e độc thân do N không có phân lớp d để dịch chuyển e










