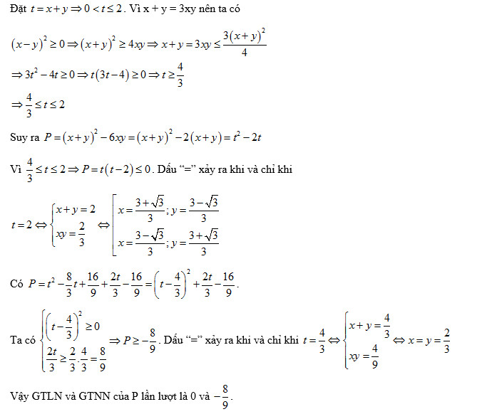
Cho hai số thực x, y thỏa mãn 0 < x ≤ 1, 0 < y ≤ 1 và x + y = 3xy Tìm giá trị lớn
Cho hai số thực x, y thỏa mãn 0 < x ≤ 1, 0 < y ≤ 1 và x + y = 3xy
Tìm giá trị lớn nhất và giá trị nhỏ nhất của biểu thức P = x2 + y2 – 4xy
Đáp án đúng là: C
Quảng cáo
Đáp án cần chọn là: C
>> Học trực tuyến lớp 9 và Lộ trình UP10 trên Tuyensinh247.com Đầy đủ khoá học các bộ sách: Kết nối tri thức với cuộc sống; Chân trời sáng tạo; Cánh diều. Lộ trình học tập 3 giai đoạn: Học nền tảng lớp 9, Ôn thi vào lớp 10, Luyện Đề. Bứt phá điểm lớp 9, thi vào lớp 10 kết quả cao. Hoàn trả học phí nếu học không hiệu quả. PH/HS tham khảo chi tiết khoá học tại: Link
![]() |
![]() |
![]() |
![]() |
![]() |
![]() |
Hỗ trợ - Hướng dẫn
-
024.7300.7989
-
1800.6947
(Thời gian hỗ trợ từ 7h đến 22h)
Email: lienhe@tuyensinh247.com











