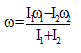
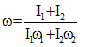
Hai đĩa tròn có mômen quán tính I1 và I2 đang quay đồng trục và cùng chiều với tốc độ w1 và
Hai đĩa tròn có mômen quán tính I1 và I2 đang quay đồng trục và cùng chiều với tốc độ w1 và w2. Ma sát ở trục quay nhỏ không đáng kể. Sau đó cho 2 đĩa dính vào nhau, hệ quay với tốc độ góc w. Có độ lớn xác định bằng công thức nào sau đây?
Đáp án đúng là: B
Quảng cáo
Đáp án cần chọn là: B
>> Học trực tuyến Lớp 10 cùng thầy cô giáo giỏi tại Tuyensinh247.com, (Xem ngay) Cam kết giúp học sinh học tốt, bứt phá điểm 9,10 chỉ sau 3 tháng, làm quen kiến thức, định hướng luyện thi TN THPT, ĐGNL, ĐGTD ngay từ lớp 10
![]() |
![]() |
![]() |
![]() |
![]() |
![]() |
![]() |
![]() |
Hỗ trợ - Hướng dẫn
-
024.7300.7989
-
1800.6947
(Thời gian hỗ trợ từ 7h đến 22h)
Email: lienhe@tuyensinh247.com












