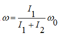
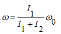
Hai đĩa mỏng nằm ngang có cùng trục quay thẳng đứng đi qua tâm của chúng. Đĩa 1 có mômen quán
Hai đĩa mỏng nằm ngang có cùng trục quay thẳng đứng đi qua tâm của chúng. Đĩa 1 có mômen quán tính I1 đang quay với tốc độ ự0, đĩa 2 có mômen quán tính I2 ban đầu đang đứng yên. Thả nhẹ đĩa 2 xuống đĩa 1 sau một khoảng thời gian ngắn hai đĩa cùng quay với tốc độ góc w
Đáp án đúng là: D
Quảng cáo
Đáp án cần chọn là: D
>> Học trực tuyến Lớp 10 cùng thầy cô giáo giỏi tại Tuyensinh247.com, (Xem ngay) Cam kết giúp học sinh học tốt, bứt phá điểm 9,10 chỉ sau 3 tháng, làm quen kiến thức, định hướng luyện thi TN THPT, ĐGNL, ĐGTD ngay từ lớp 10
![]() |
![]() |
![]() |
![]() |
![]() |
![]() |
![]() |
![]() |
Hỗ trợ - Hướng dẫn
-
024.7300.7989
-
1800.6947
(Thời gian hỗ trợ từ 7h đến 22h)
Email: lienhe@tuyensinh247.com












