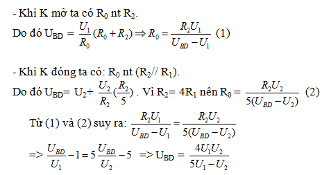
Cho mạch điện như hình vẽ: Hiệu điện thế giữa hai điểm B, D không đổi khi mở và đóng
Cho mạch điện như hình vẽ:
Hiệu điện thế giữa hai điểm B, D không đổi khi mở và đóng khoá K, vôn kế lần lượt chỉ hai giá trị U1 và U2. Biết rằng
R2 = 4R1 và vôn kế có điện trở rất lớn.
Tính hiệu điện thế giữa hai đầu B, D theo U1 và U2.
Quảng cáo
>> Học trực tuyến lớp 9 và Lộ trình UP10 trên Tuyensinh247.com Đầy đủ khoá học các bộ sách: Kết nối tri thức với cuộc sống; Chân trời sáng tạo; Cánh diều. Lộ trình học tập 3 giai đoạn: Học nền tảng lớp 9, Ôn thi vào lớp 10, Luyện Đề. Bứt phá điểm lớp 9, thi vào lớp 10 kết quả cao. Hoàn trả học phí nếu học không hiệu quả. PH/HS tham khảo chi tiết khoá học tại: Link
![]() |
![]() |
![]() |
![]() |
![]() |
![]() |
Hỗ trợ - Hướng dẫn
-
024.7300.7989
-
1800.6947
(Thời gian hỗ trợ từ 7h đến 22h)
Email: lienhe@tuyensinh247.com










