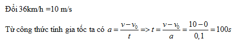
Một xe lửa bắt đầu rời khỏi ga và chuyển động thẳng nhanh dần đều với gia tốc 0,1m/s2.
Một xe lửa bắt đầu rời khỏi ga và chuyển động thẳng nhanh dần đều với gia tốc 0,1m/s2. Khoảng thời gian t để xe đạt được vận tốc 36 km/h là bao nhiêu?
Đáp án đúng là: B
Quảng cáo
Đáp án cần chọn là: B
>> Học trực tuyến Lớp 10 cùng thầy cô giáo giỏi tại Tuyensinh247.com, (Xem ngay) Cam kết giúp học sinh học tốt, bứt phá điểm 9,10 chỉ sau 3 tháng, làm quen kiến thức, định hướng luyện thi TN THPT, ĐGNL, ĐGTD ngay từ lớp 10
![]() |
![]() |
![]() |
![]() |
![]() |
![]() |
![]() |
![]() |
Hỗ trợ - Hướng dẫn
-
024.7300.7989
-
1800.6947
(Thời gian hỗ trợ từ 7h đến 22h)
Email: lienhe@tuyensinh247.com












