a) Một vật thả rơi từ độ cao 4,9 m xuống đất bỏ qua sức cản của không khí. Lấy gia tốc
a) Một vật thả rơi từ độ cao 4,9 m xuống đất bỏ qua sức cản của không khí. Lấy gia tốc rơi tự do g = 9,8 m/s2. Vận tốc của vật trước khi chạm đất là bao nhiêu ?
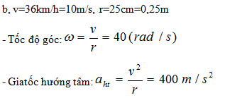
b) Một vành ngoài của bánh xe ô tô có bán kính là 25 cm. Tính tốc độ góc và gia tốc hướng tâm của 1 điểm trên vành ngoài của bánh xe khi ô tô đang chạy với tốc độ dài 36 km/h.
Quảng cáo
>> Học trực tuyến Lớp 10 cùng thầy cô giáo giỏi tại Tuyensinh247.com, (Xem ngay) Cam kết giúp học sinh học tốt, bứt phá điểm 9,10 chỉ sau 3 tháng, làm quen kiến thức, định hướng luyện thi TN THPT, ĐGNL, ĐGTD ngay từ lớp 10
![]() |
![]() |
![]() |
![]() |
![]() |
![]() |
![]() |
![]() |
Hỗ trợ - Hướng dẫn
-
024.7300.7989
-
1800.6947
(Thời gian hỗ trợ từ 7h đến 22h)
Email: lienhe@tuyensinh247.com












