một đĩa mỏng phẳng đồng chất bán kính R = 40 cm.có thể quay quanh trục đi qua tâm và vuông góc
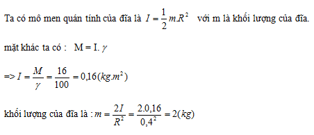
một đĩa mỏng phẳng đồng chất bán kính R = 40 cm.có thể quay quanh trục đi qua tâm và vuông góc với mặt phẳng đĩa. Tác dụng vào đĩa một mô men lực không đổi 16 N.m, đĩa chuyển động quanh trục với gia tốc góc = 100 rad/.Tìm khối lượng của đĩa.
Quảng cáo
>> Học trực tuyến Lớp 10 cùng thầy cô giáo giỏi tại Tuyensinh247.com, (Xem ngay) Cam kết giúp học sinh học tốt, bứt phá điểm 9,10 chỉ sau 3 tháng, làm quen kiến thức, định hướng luyện thi TN THPT, ĐGNL, ĐGTD ngay từ lớp 10
![]() |
![]() |
![]() |
![]() |
![]() |
![]() |
![]() |
![]() |
Hỗ trợ - Hướng dẫn
-
024.7300.7989
-
1800.6947
(Thời gian hỗ trợ từ 7h đến 22h)
Email: lienhe@tuyensinh247.com












