một người đứng ở giữa ghế jucôpki sao cho phương trọng lưc tác dụng lên người trùng với
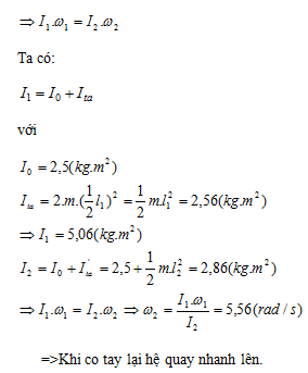
một người đứng ở giữa ghế jucôpki sao cho phương trọng lưc tác dụng lên người trùng với trục quay của ghế. Hai tay người đó dang ra cầm hai quả tạ khối lượng 2 kg,khoảng cách giữa hai quả tạ là 1,6 m.cho hệ người và ghế quay với vận tốc không đổi.n = 0,5 vòng/s
Hỏi vận tốc góc của ghế và người đó nếu co tay lại để khoảng cách giữa hai quả tạ chỉ là 0,6 m. Biết mô men quán tính của người và ghế là 2,5 kg/m2
Quảng cáo
>> Học trực tuyến Lớp 10 cùng thầy cô giáo giỏi tại Tuyensinh247.com, (Xem ngay) Cam kết giúp học sinh học tốt, bứt phá điểm 9,10 chỉ sau 3 tháng, làm quen kiến thức, định hướng luyện thi TN THPT, ĐGNL, ĐGTD ngay từ lớp 10
![]() |
![]() |
![]() |
![]() |
![]() |
![]() |
![]() |
![]() |
Hỗ trợ - Hướng dẫn
-
024.7300.7989
-
1800.6947
(Thời gian hỗ trợ từ 7h đến 22h)
Email: lienhe@tuyensinh247.com












