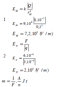
Một điện tích điểm Q = 8.10^-7 C được đặt cô lập trong chân không. 1. Tính độ lớn của
Một điện tích điểm Q = 8.10^-7 C được đặt cô lập trong chân không.
1. Tính độ lớn của cường độ điện trường tại điểm M cách điện tích điểm Q một đoạn 10cm.
2. Đặt tại điểm N một điện tích điểm q=10^-8 C, điện tích q chịu một lực đẩy có độ lớn F = 6.10^-3 N. Tính độ lớn cường độ điện trường tại điểm N.
Quảng cáo
>> 2K9 Chú ý! Lộ Trình Sun 2027 - 1 lộ trình ôn đa kỳ thi (TN THPT, ĐGNL (Hà Nội/ Hồ Chí Minh), ĐGNL Sư Phạm, ĐGTD, ĐGNL Bộ Công an, ĐGNL Bộ Quốc phòngTD - Click xem ngay) tại Tuyensinh247.com. Cập nhật bám sát bộ SGK mới, Thầy Cô giáo giỏi, 3 bước chi tiết: Nền tảng lớp 12; Luyện thi chuyên sâu; Luyện đề đủ dạng đáp ứng mọi kì thi.
![]() |
![]() |
![]() |
![]() |
![]() |
![]() |
![]() |
![]() |
Hỗ trợ - Hướng dẫn
-
024.7300.7989
-
1800.6947
(Thời gian hỗ trợ từ 7h đến 22h)
Email: lienhe@tuyensinh247.com












