Hai con lắc lò xo treo thẳng đứng, vật treo có khối lượng lần lượt là 2m và m. Tại thời
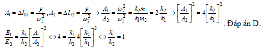
Hai con lắc lò xo treo thẳng đứng, vật treo có khối lượng lần lượt là 2m và m. Tại thời điểm ban đầu đưa các vật về vị trí để lò xo không biến dạng rồi thả nhẹ cho hai vật dao động điều hòa. Biết tỉ số cơ năng dao động của hai con lắc bằng 4. Tỉ số độ cứng của hai lò xo là:
Đáp án đúng là: D
Quảng cáo
Đáp án cần chọn là: D
>> 2K9 Chú ý! Lộ Trình Sun 2027 - 1 lộ trình ôn đa kỳ thi (TN THPT, ĐGNL (Hà Nội/ Hồ Chí Minh), ĐGNL Sư Phạm, ĐGTD, ĐGNL Bộ Công an, ĐGNL Bộ Quốc phòngTD - Click xem ngay) tại Tuyensinh247.com. Cập nhật bám sát bộ SGK mới, Thầy Cô giáo giỏi, 3 bước chi tiết: Nền tảng lớp 12; Luyện thi chuyên sâu; Luyện đề đủ dạng đáp ứng mọi kì thi.
![]() |
![]() |
![]() |
![]() |
![]() |
![]() |
![]() |
![]() |
Hỗ trợ - Hướng dẫn
-
024.7300.7989
-
1800.6947
(Thời gian hỗ trợ từ 7h đến 22h)
Email: lienhe@tuyensinh247.com












