Phần cảm của một máy phát điện xoay chiều gồm 2 cặp cực. Vận tốc quay của rôto là 1500
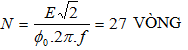
Phần cảm của một máy phát điện xoay chiều gồm 2 cặp cực. Vận tốc quay của rôto là 1500 vòng/phút. Phần ứng của máy gồm 4 cuộn dây giống nhau mắc nối tiếp. Biết rằng từ thông cực đại qua mỗi vòng dây là Ф0 = 5.10-3 Wb và suất điện động hiệu dụng mà máy tạo ra là 120V. Số vòng dây của mỗi cuộn dây là
Đáp án đúng là: D
Quảng cáo
Đáp án cần chọn là: D
>> 2K9 Chú ý! Lộ Trình Sun 2027 - 1 lộ trình ôn đa kỳ thi (TN THPT, ĐGNL (Hà Nội/ Hồ Chí Minh), ĐGNL Sư Phạm, ĐGTD, ĐGNL Bộ Công an, ĐGNL Bộ Quốc phòngTD - Click xem ngay) tại Tuyensinh247.com. Cập nhật bám sát bộ SGK mới, Thầy Cô giáo giỏi, 3 bước chi tiết: Nền tảng lớp 12; Luyện thi chuyên sâu; Luyện đề đủ dạng đáp ứng mọi kì thi.
![]() |
![]() |
![]() |
![]() |
![]() |
![]() |
![]() |
![]() |
Hỗ trợ - Hướng dẫn
-
024.7300.7989
-
1800.6947
(Thời gian hỗ trợ từ 7h đến 22h)
Email: lienhe@tuyensinh247.com












