Một đèn ống khi hoạt động bình thường thì dòng điện qua đèn có cường độ 0,8A và hiệu
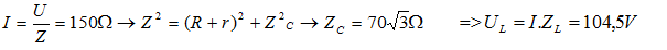
Một đèn ống khi hoạt động bình thường thì dòng điện qua đèn có cường độ 0,8A và hiệu điện thế hai đầu đèn là 50V. Để sử dụng ở mạng điện xoay chiều 120V - 50Hz, người ta mắc nối tiếp đèn với một cuộn cảm có điện trở thuần 12,5Ω (gọi là cuộn chấn lưu). Hiệu điện thế hiệu dụng giữa hai đầu cuộn cảm là
Đáp án đúng là: A
Quảng cáo
Đáp án cần chọn là: A
>> 2K9 Chú ý! Lộ Trình Sun 2027 - 1 lộ trình ôn đa kỳ thi (TN THPT, ĐGNL (Hà Nội/ Hồ Chí Minh), ĐGNL Sư Phạm, ĐGTD, ĐGNL Bộ Công an, ĐGNL Bộ Quốc phòngTD - Click xem ngay) tại Tuyensinh247.com. Cập nhật bám sát bộ SGK mới, Thầy Cô giáo giỏi, 3 bước chi tiết: Nền tảng lớp 12; Luyện thi chuyên sâu; Luyện đề đủ dạng đáp ứng mọi kì thi.
![]() |
![]() |
![]() |
![]() |
![]() |
![]() |
![]() |
![]() |
Hỗ trợ - Hướng dẫn
-
024.7300.7989
-
1800.6947
(Thời gian hỗ trợ từ 7h đến 22h)
Email: lienhe@tuyensinh247.com












