Hai nguồn phát sóng kết hợp S1, S2 trên mặt chất lỏng cách nhau 30 cm phát ra hai dao động điều
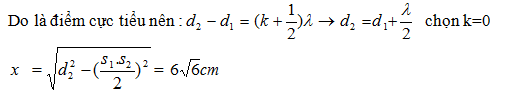
Hai nguồn phát sóng kết hợp S1, S2 trên mặt chất lỏng cách nhau 30 cm phát ra hai dao động điều hòa cùng phương, cùng tần số f = 50 Hz và pha ban đầu bằng không. Biết tốc độ truyền sóng trên mặt chất lỏng v = 6 m/s. Những điểm trên đường trung trực của đoạn S1S2 mà sóng tổng hợp tại đó luôn dao động ngược pha với sóng tổng hợp tại trung điểm O của S1S2, cách O một khoảng nhỏ nhất là:
Đáp án đúng là: B
Quảng cáo
Đáp án cần chọn là: B
>> 2K9 Chú ý! Lộ Trình Sun 2027 - 1 lộ trình ôn đa kỳ thi (TN THPT, ĐGNL (Hà Nội/ Hồ Chí Minh), ĐGNL Sư Phạm, ĐGTD, ĐGNL Bộ Công an, ĐGNL Bộ Quốc phòngTD - Click xem ngay) tại Tuyensinh247.com. Cập nhật bám sát bộ SGK mới, Thầy Cô giáo giỏi, 3 bước chi tiết: Nền tảng lớp 12; Luyện thi chuyên sâu; Luyện đề đủ dạng đáp ứng mọi kì thi.
![]() |
![]() |
![]() |
![]() |
![]() |
![]() |
![]() |
![]() |
Hỗ trợ - Hướng dẫn
-
024.7300.7989
-
1800.6947
(Thời gian hỗ trợ từ 7h đến 22h)
Email: lienhe@tuyensinh247.com












