Một cuộn cảm có điện trở R và độ tự cảm L ghép nối tiếp với một tụ điện có điện
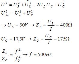
Một cuộn cảm có điện trở R và độ tự cảm L ghép nối tiếp với một tụ điện có điện dung C rồi mắc vào mạch điện xoay chiều có tần số f. Dùng vôn kế nhiệt đo hiệu điện thế ta thấy giữa hai đầu mạch điện là 37,5V; giữa hai đầu cuộn cảm 50V; giữa hai bản tụ điện 17,5V. Dùng ampe kế nhiệt đo cường độ dòng điện ta thấy I = 0,1A. Khi tần số f thay đổi đến giá trị fm = 330Hz thì cường độ dòng điện trong mạch điện đạt giá trị cực đại. Tần số f lúc ban đầu là
Đáp án đúng là: B
Quảng cáo
Đáp án cần chọn là: B
>> 2K9 Chú ý! Lộ Trình Sun 2027 - 1 lộ trình ôn đa kỳ thi (TN THPT, ĐGNL (Hà Nội/ Hồ Chí Minh), ĐGNL Sư Phạm, ĐGTD, ĐGNL Bộ Công an, ĐGNL Bộ Quốc phòngTD - Click xem ngay) tại Tuyensinh247.com. Cập nhật bám sát bộ SGK mới, Thầy Cô giáo giỏi, 3 bước chi tiết: Nền tảng lớp 12; Luyện thi chuyên sâu; Luyện đề đủ dạng đáp ứng mọi kì thi.
![]() |
![]() |
![]() |
![]() |
![]() |
![]() |
![]() |
![]() |
Hỗ trợ - Hướng dẫn
-
024.7300.7989
-
1800.6947
(Thời gian hỗ trợ từ 7h đến 22h)
Email: lienhe@tuyensinh247.com












