Có hai máy biến áp lí tưởng (bỏ qua mọi hao phí) cuộn sơ cấp có cùng số vòng dây nhưng cuộn
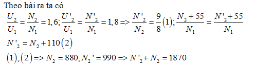
Có hai máy biến áp lí tưởng (bỏ qua mọi hao phí) cuộn sơ cấp có cùng số vòng dây nhưng cuộn thứ cấp có số vòng dây khác nhau. Khi đặt điện áp xoay chiều có giá trị hiệu dụng U không đổi vào hai đầu cuộn sơ cấp của máy thứ nhất thì tỉ số giữa điện áp hiệu dụng ở hai đầu cuộn thứ cấp để hở và cuộn sơ cấp của máy đó là 1,6. Khi đặt điện áp xoay chiều nói trên vào hai đầu cuộn sơ cấp của máy thứ hai thì tỉ số đó là 1,8. Khi cùng thay đổi số vòng dây của cuộn thứ cấp của mỗi máy 55 vòng dây rồi lặp lại thí nghiệm thì tỉ số điện áp nói trên của hai máy là bằng nhau. Tổng số vòng dây của hai cuộn thứ cấp của hai máy là
Đáp án đúng là: D
Quảng cáo
Đáp án cần chọn là: D
>> 2K8 Chú ý! Lộ Trình Sun 2026 - 3IN1 - 1 lộ trình ôn 3 kì thi (Luyện thi 26+ TN THPT, 90+ ĐGNL HN, 900+ ĐGNL HCM, 70+ ĐGTD - Click xem ngay) tại Tuyensinh247.com.Đầy đủ theo 3 đầu sách, Thầy Cô giáo giỏi, luyện thi theo 3 giai đoạn: Nền tảng lớp 12, Luyện thi chuyên sâu, Luyện đề đủ dạng đáp ứng mọi kì thi.
![]() |
![]() |
![]() |
![]() |
![]() |
![]() |
![]() |
![]() |
Hỗ trợ - Hướng dẫn
-
024.7300.7989
-
1800.6947
(Thời gian hỗ trợ từ 7h đến 22h)
Email: lienhe@tuyensinh247.com













