Con lắc lò xo treo thẳng đứng dao động điều hòa với biên độ 8cm và chi kì 0,4s. Chọn trục Ox
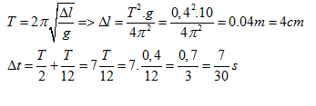
Con lắc lò xo treo thẳng đứng dao động điều hòa với biên độ 8cm và chi kì 0,4s. Chọn trục Ox thẳng đứng, chiều dương hướng xuống, gốc tọa độ tại vị trí cân bằng, gốc thời gian t=0 khi vật qua vị trí cân bằng theo chiều dương. Lấy gia tốc rơi tự do g= 10m/s2 và π2 = 10. Thời gian ngắn nhất kể từ khi t=0 đến khi lực đàn hồi của lò xo có độ lớn cực tiểu là
Đáp án đúng là: B
Quảng cáo
Đáp án cần chọn là: B
>> 2K9 Chú ý! Lộ Trình Sun 2027 - 1 lộ trình ôn đa kỳ thi (TN THPT, ĐGNL (Hà Nội/ Hồ Chí Minh), ĐGNL Sư Phạm, ĐGTD, ĐGNL Bộ Công an, ĐGNL Bộ Quốc phòngTD - Click xem ngay) tại Tuyensinh247.com. Cập nhật bám sát bộ SGK mới, Thầy Cô giáo giỏi, 3 bước chi tiết: Nền tảng lớp 12; Luyện thi chuyên sâu; Luyện đề đủ dạng đáp ứng mọi kì thi.
![]() |
![]() |
![]() |
![]() |
![]() |
![]() |
![]() |
![]() |
Hỗ trợ - Hướng dẫn
-
024.7300.7989
-
1800.6947
(Thời gian hỗ trợ từ 7h đến 22h)
Email: lienhe@tuyensinh247.com














