Đoạn mạch có điện trở 40Ω mắc nối tiếp với cuộn dây. Điện áp xoay chiều đặt vào hai
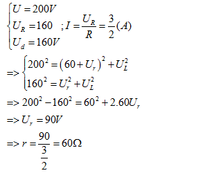
Đoạn mạch có điện trở 40Ω mắc nối tiếp với cuộn dây. Điện áp xoay chiều đặt vào hai đầu đoạn mạch là 200√2cos100πt (V). Điện áp hiệu dụng giữa hai đầu điện trở là 60V, giữa hai đầu cuộn dây là 160V. Điện trở thuần của cuộn dây là:
Đáp án đúng là: A
Quảng cáo
Đáp án cần chọn là: A
>> 2K9 Chú ý! Lộ Trình Sun 2027 - 1 lộ trình ôn đa kỳ thi (TN THPT, ĐGNL (Hà Nội/ Hồ Chí Minh), ĐGNL Sư Phạm, ĐGTD, ĐGNL Bộ Công an, ĐGNL Bộ Quốc phòngTD - Click xem ngay) tại Tuyensinh247.com. Cập nhật bám sát bộ SGK mới, Thầy Cô giáo giỏi, 3 bước chi tiết: Nền tảng lớp 12; Luyện thi chuyên sâu; Luyện đề đủ dạng đáp ứng mọi kì thi.
![]() |
![]() |
![]() |
![]() |
![]() |
![]() |
![]() |
![]() |
Hỗ trợ - Hướng dẫn
-
024.7300.7989
-
1800.6947
(Thời gian hỗ trợ từ 7h đến 22h)
Email: lienhe@tuyensinh247.com













