Đặt điện áp u=100√2cos100πt(V) vào hai đầu đoạn mạch mắc nối tiếp gồm điện trở thuần
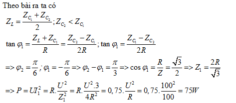
Đặt điện áp u=100√2cos100πt(V) vào hai đầu đoạn mạch mắc nối tiếp gồm điện trở thuần R=100 Ω, cuộn cảm thuần L và tụ điện C thay đổi được.Khi thay đổi điện dung tụ điện đến C1 và C2> C1 thì công suất tiêu thụ trong mạch cùng bằng P nhưng cường độ dòng điện tức thời trong hai trường hợp lệch pha nhau π/3. Giá trị của P bằng
Đáp án đúng là: C
Quảng cáo
Đáp án cần chọn là: C
>> 2K9 Chú ý! Lộ Trình Sun 2027 - 1 lộ trình ôn đa kỳ thi (TN THPT, ĐGNL (Hà Nội/ Hồ Chí Minh), ĐGNL Sư Phạm, ĐGTD, ĐGNL Bộ Công an, ĐGNL Bộ Quốc phòngTD - Click xem ngay) tại Tuyensinh247.com. Cập nhật bám sát bộ SGK mới, Thầy Cô giáo giỏi, 3 bước chi tiết: Nền tảng lớp 12; Luyện thi chuyên sâu; Luyện đề đủ dạng đáp ứng mọi kì thi.
![]() |
![]() |
![]() |
![]() |
![]() |
![]() |
![]() |
![]() |
Hỗ trợ - Hướng dẫn
-
024.7300.7989
-
1800.6947
(Thời gian hỗ trợ từ 7h đến 22h)
Email: lienhe@tuyensinh247.com













