Tại một nơi trên mặt đất, có hai con lắc đơn dao động điều hòa với biên độ góc a1, a2 và
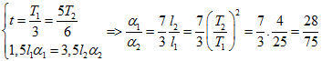
Tại một nơi trên mặt đất, có hai con lắc đơn dao động điều hòa với biên độ góc a1, a2 và chu kì tương ứng T1, T2 = 5/2T1. Ban đầu cả hai con lắc đều ở vị trí biên. Sau thời gian T1 /3 đầu tiên, quãng đường mà vật nhỏ của hai con lắc đi được bằng nhau. Tỉ số
có bằng
Đáp án đúng là: D
Quảng cáo
Đáp án cần chọn là: D
>> 2K9 Chú ý! Lộ Trình Sun 2027 - 1 lộ trình ôn đa kỳ thi (TN THPT, ĐGNL (Hà Nội/ Hồ Chí Minh), ĐGNL Sư Phạm, ĐGTD, ĐGNL Bộ Công an, ĐGNL Bộ Quốc phòngTD - Click xem ngay) tại Tuyensinh247.com. Cập nhật bám sát bộ SGK mới, Thầy Cô giáo giỏi, 3 bước chi tiết: Nền tảng lớp 12; Luyện thi chuyên sâu; Luyện đề đủ dạng đáp ứng mọi kì thi.
![]() |
![]() |
![]() |
![]() |
![]() |
![]() |
![]() |
![]() |
Hỗ trợ - Hướng dẫn
-
024.7300.7989
-
1800.6947
(Thời gian hỗ trợ từ 7h đến 22h)
Email: lienhe@tuyensinh247.com












