Một vật thực hiện đồng thời 3 dao động điều hòa cùng phương, cùng tần số tương ứng là
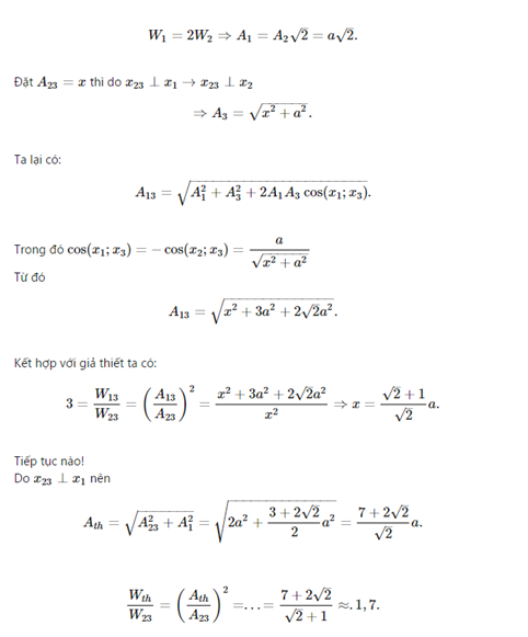
Một vật thực hiện đồng thời 3 dao động điều hòa cùng phương, cùng tần số tương ứng là (1), (2), (3). Dao động (1) ngược pha và có năng lượng gấp đôi dao động (2). Dao động tổng hợp (13) có năng lượng là 3W. Dao động tổng hợp (23) có năng lượng là W và vuông pha với dao động (1). Dao động tổng hợp của vật có năng lượng gần với giá trị nào nhất sau đây?
Đáp án đúng là: D
Quảng cáo
Đáp án cần chọn là: D
>> 2K9 Chú ý! Lộ Trình Sun 2027 - 1 lộ trình ôn đa kỳ thi (TN THPT, ĐGNL (Hà Nội/ Hồ Chí Minh), ĐGNL Sư Phạm, ĐGTD, ĐGNL Bộ Công an, ĐGNL Bộ Quốc phòngTD - Click xem ngay) tại Tuyensinh247.com. Cập nhật bám sát bộ SGK mới, Thầy Cô giáo giỏi, 3 bước chi tiết: Nền tảng lớp 12; Luyện thi chuyên sâu; Luyện đề đủ dạng đáp ứng mọi kì thi.
![]() |
![]() |
![]() |
![]() |
![]() |
![]() |
![]() |
![]() |
Hỗ trợ - Hướng dẫn
-
024.7300.7989
-
1800.6947
(Thời gian hỗ trợ từ 7h đến 22h)
Email: lienhe@tuyensinh247.com













