Đặt vào hai đầu cuộn sơ cấp của máy biến áp lí tưởng một điện áp xoay chiều có giá
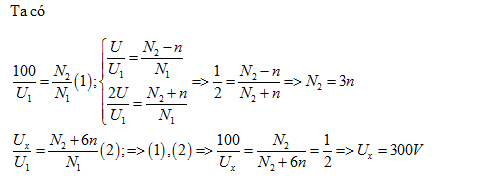
Đặt vào hai đầu cuộn sơ cấp của máy biến áp lí tưởng một điện áp xoay chiều có giá trị hiệu dụng không đổi thì điện áp hệu dụng giữa hai đầu cuộn thứ cấp để hở là 100. Ở cuộn thứ cấp nếu giảm bớt n vòng dây thì điện áp hiệu dụn giữa hai đầu để hở của nó là U, nếu tăng thêm n vòng thì điện áp đó là 2U. Nếu tăng thêm 6n vòng dây ở cuộn thứ cấp thì điện áp hiệu dụng giữa hai đầu để hở của nó là
Đáp án đúng là: C
Quảng cáo
Đáp án cần chọn là: C
>> 2K9 Chú ý! Lộ Trình Sun 2027 - 1 lộ trình ôn đa kỳ thi (TN THPT, ĐGNL (Hà Nội/ Hồ Chí Minh), ĐGNL Sư Phạm, ĐGTD, ĐGNL Bộ Công an, ĐGNL Bộ Quốc phòngTD - Click xem ngay) tại Tuyensinh247.com. Cập nhật bám sát bộ SGK mới, Thầy Cô giáo giỏi, 3 bước chi tiết: Nền tảng lớp 12; Luyện thi chuyên sâu; Luyện đề đủ dạng đáp ứng mọi kì thi.
![]() |
![]() |
![]() |
![]() |
![]() |
![]() |
![]() |
![]() |
Hỗ trợ - Hướng dẫn
-
024.7300.7989
-
1800.6947
(Thời gian hỗ trợ từ 7h đến 22h)
Email: lienhe@tuyensinh247.com













