Đặt điện áp xoay chiều có giá trị hiệu dụng 2 V và tần số 50 kHz vào hai đầu đoạn mạch
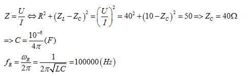
Đặt điện áp xoay chiều có giá trị hiệu dụng 2 V và tần số 50 kHz vào hai đầu đoạn mạch gồm điện trở có giá trị 40 Ω, cuộn cảm thuần có độ tự cảm 1/10π mH và tụ điện có điện dung C mắc nối tiếp thì cường độ dòng điện hiệu dụng trong đoạn mạch là 40 mA. Nếu mắc cuộn cảm và tụ điện trên thành mạch dao động LC thì tần số dao động riêng của mạch bằng
Đáp án đúng là: A
Quảng cáo
Đáp án cần chọn là: A
>> 2K9 Chú ý! Lộ Trình Sun 2027 - 1 lộ trình ôn đa kỳ thi (TN THPT, ĐGNL (Hà Nội/ Hồ Chí Minh), ĐGNL Sư Phạm, ĐGTD, ĐGNL Bộ Công an, ĐGNL Bộ Quốc phòngTD - Click xem ngay) tại Tuyensinh247.com. Cập nhật bám sát bộ SGK mới, Thầy Cô giáo giỏi, 3 bước chi tiết: Nền tảng lớp 12; Luyện thi chuyên sâu; Luyện đề đủ dạng đáp ứng mọi kì thi.
![]() |
![]() |
![]() |
![]() |
![]() |
![]() |
![]() |
![]() |
Hỗ trợ - Hướng dẫn
-
024.7300.7989
-
1800.6947
(Thời gian hỗ trợ từ 7h đến 22h)
Email: lienhe@tuyensinh247.com













