Nguồn âm tại O có công suất không đổi. Trên cùng đường thẳng qua O có ba điểm A, B, C cùng
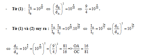
Nguồn âm tại O có công suất không đổi. Trên cùng đường thẳng qua O có ba điểm A, B, C cùng nằm về một phía của O và theo thứ tự xa có khoảng cách tới nguồn tăng dần. Mức cường độ âm tại B kém mức cường độ âm tại A là a (dB), mức cường độ âm tại B hơn mức cường độ âm tại C là: 3a (dB). Biết OA = 2/3OB. Tỉ số OA/OC là:
Đáp án đúng là: D
Quảng cáo
Đáp án cần chọn là: D
>> 2K9 Chú ý! Lộ Trình Sun 2027 - 1 lộ trình ôn đa kỳ thi (TN THPT, ĐGNL (Hà Nội/ Hồ Chí Minh), ĐGNL Sư Phạm, ĐGTD, ĐGNL Bộ Công an, ĐGNL Bộ Quốc phòngTD - Click xem ngay) tại Tuyensinh247.com. Cập nhật bám sát bộ SGK mới, Thầy Cô giáo giỏi, 3 bước chi tiết: Nền tảng lớp 12; Luyện thi chuyên sâu; Luyện đề đủ dạng đáp ứng mọi kì thi.
![]() |
![]() |
![]() |
![]() |
![]() |
![]() |
![]() |
![]() |
Hỗ trợ - Hướng dẫn
-
024.7300.7989
-
1800.6947
(Thời gian hỗ trợ từ 7h đến 22h)
Email: lienhe@tuyensinh247.com












