Trong hiện tượng giao thoa ánh sáng, cho a = 0,2 mm ,D =1 m .Chiếu ánh sáng trắng có bước sóng nằm
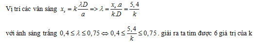
Trong hiện tượng giao thoa ánh sáng, cho a = 0,2 mm ,D =1 m .Chiếu ánh sáng trắng có bước sóng nằm trong khoảng 0,4 µm – 0,75 µm.Tại điểm N cách vân sáng trung tâm 2,7 cm có số vân sáng của những ánh sáng đơn sắc nằm trùng ở đó là :
Đáp án đúng là: B
Quảng cáo
Đáp án cần chọn là: B
>> 2K9 Chú ý! Lộ Trình Sun 2027 - 1 lộ trình ôn đa kỳ thi (TN THPT, ĐGNL (Hà Nội/ Hồ Chí Minh), ĐGNL Sư Phạm, ĐGTD, ĐGNL Bộ Công an, ĐGNL Bộ Quốc phòngTD - Click xem ngay) tại Tuyensinh247.com. Cập nhật bám sát bộ SGK mới, Thầy Cô giáo giỏi, 3 bước chi tiết: Nền tảng lớp 12; Luyện thi chuyên sâu; Luyện đề đủ dạng đáp ứng mọi kì thi.
![]() |
![]() |
![]() |
![]() |
![]() |
![]() |
![]() |
![]() |
Hỗ trợ - Hướng dẫn
-
024.7300.7989
-
1800.6947
(Thời gian hỗ trợ từ 7h đến 22h)
Email: lienhe@tuyensinh247.com












