Đặt điện áp xoay chiều có giá trị hiệu dụng U, tần số không đổi vào hai đầu đoạn mạch
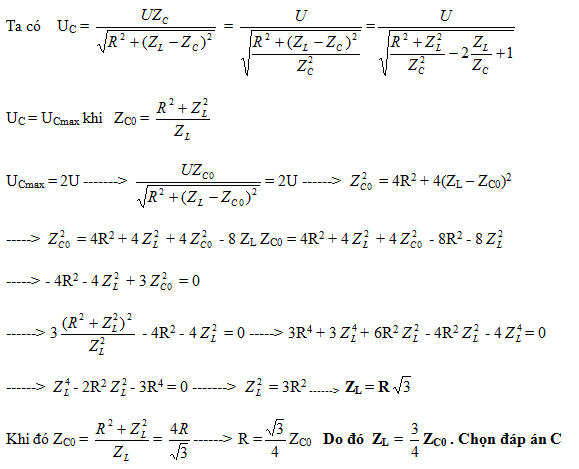
Đặt điện áp xoay chiều có giá trị hiệu dụng U, tần số không đổi vào hai đầu đoạn mạch R, L, C nối tiếp, L là cuộn dây thuần cảm, tụ điện có điện dung C thay đổi được. Thay đổi điện dung của tụ đến giá trị C0 thì điện áp ở hai đầu tụ điện đạt giá trị cực đại là 2U. Hệ thức liên hệ giữa điện trở R, cảm kháng ZL và dung kháng ZC0 là
Đáp án đúng là: C
Quảng cáo
Đáp án cần chọn là: C
>> 2K9 Chú ý! Lộ Trình Sun 2027 - 1 lộ trình ôn đa kỳ thi (TN THPT, ĐGNL (Hà Nội/ Hồ Chí Minh), ĐGNL Sư Phạm, ĐGTD, ĐGNL Bộ Công an, ĐGNL Bộ Quốc phòngTD - Click xem ngay) tại Tuyensinh247.com. Cập nhật bám sát bộ SGK mới, Thầy Cô giáo giỏi, 3 bước chi tiết: Nền tảng lớp 12; Luyện thi chuyên sâu; Luyện đề đủ dạng đáp ứng mọi kì thi.
![]() |
![]() |
![]() |
![]() |
![]() |
![]() |
![]() |
![]() |
Hỗ trợ - Hướng dẫn
-
024.7300.7989
-
1800.6947
(Thời gian hỗ trợ từ 7h đến 22h)
Email: lienhe@tuyensinh247.com












