Đoạn mạch AB gồm điện trở R, cuộn cảm thuần L và tụ điện C mắc nối tiếp. Đặt điện
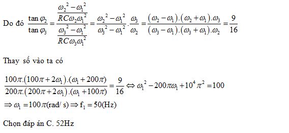
Đoạn mạch AB gồm điện trở R, cuộn cảm thuần L và tụ điện C mắc nối tiếp. Đặt điện áp u = U0cos(2πft) vào hai đầu đoạn mạch AB. Cho biết R, L, C, U0 là các giá trị dương và không đổi, tần số f thay đổi được. Thay đổi f thì nhận thấy f = f1 (Hz) , f = f1 + 50 Hz , f = f1 + 100 Hz thì hệ số công suất của đoạn mạch lần lượt là cosφ1 = 1; cosφ2 = 0,8; cosφ3 = 0,6 . Giá trị f1 gần giá trị nào nhất sau đây?
Đáp án đúng là: C
Quảng cáo
Đáp án cần chọn là: C
>> 2K9 Chú ý! Lộ Trình Sun 2027 - 1 lộ trình ôn đa kỳ thi (TN THPT, ĐGNL (Hà Nội/ Hồ Chí Minh), ĐGNL Sư Phạm, ĐGTD, ĐGNL Bộ Công an, ĐGNL Bộ Quốc phòngTD - Click xem ngay) tại Tuyensinh247.com. Cập nhật bám sát bộ SGK mới, Thầy Cô giáo giỏi, 3 bước chi tiết: Nền tảng lớp 12; Luyện thi chuyên sâu; Luyện đề đủ dạng đáp ứng mọi kì thi.
![]() |
![]() |
![]() |
![]() |
![]() |
![]() |
![]() |
![]() |
Hỗ trợ - Hướng dẫn
-
024.7300.7989
-
1800.6947
(Thời gian hỗ trợ từ 7h đến 22h)
Email: lienhe@tuyensinh247.com












