Đặt điện áp xoay chiều u=Ucosωt (U không đổi, ω thay đổi) vào hai đầu đoạn mạch gồm:
Đặt điện áp xoay chiều u=U
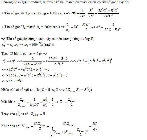
cosωt (U không đổi, ω thay đổi) vào hai đầu đoạn mạch gồm: điện trở thuần R, một điện trở thuần R, một cuộn cảm thuần có độ tự cảm L, một tụ điện có điện C mắc nối tiếp (2L>C.R2). Khi ω=100π(rad/s) thì điện áp hiệu dụng giữa hai đầu tụ điện đạt giá trị cức đại. Khi ω=200π(rad/s) thì điện áp hiệu dụng giữa hai đầu cuộn cảm đạt giá trị cực đại. Giá trị điện áp hiệu dụng cực đại giữa hai đầu cuộn cảm là:
Đáp án đúng là: B
Quảng cáo
Đáp án cần chọn là: B
>> 2K9 Chú ý! Lộ Trình Sun 2027 - 1 lộ trình ôn đa kỳ thi (TN THPT, ĐGNL (Hà Nội/ Hồ Chí Minh), ĐGNL Sư Phạm, ĐGTD, ĐGNL Bộ Công an, ĐGNL Bộ Quốc phòngTD - Click xem ngay) tại Tuyensinh247.com. Cập nhật bám sát bộ SGK mới, Thầy Cô giáo giỏi, 3 bước chi tiết: Nền tảng lớp 12; Luyện thi chuyên sâu; Luyện đề đủ dạng đáp ứng mọi kì thi.
![]() |
![]() |
![]() |
![]() |
![]() |
![]() |
![]() |
![]() |
Hỗ trợ - Hướng dẫn
-
024.7300.7989
-
1800.6947
(Thời gian hỗ trợ từ 7h đến 22h)
Email: lienhe@tuyensinh247.com












