Cho đoạn mạch xoay chiều AB nối tiếp gồm: AM chứa biến trở R, đoạn MN chứa r, đoạn NP chứa
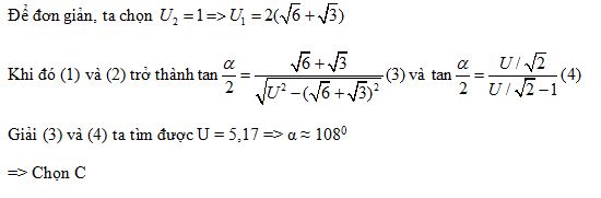
Cho đoạn mạch xoay chiều AB nối tiếp gồm: AM chứa biến trở R, đoạn MN chứa r, đoạn NP chứa cuộn cảm thuẩn, đoạn PB chứa tụ điện có điện dung biến thiên. Ban đầu thay đổi tụ điện sao cho UAP không phụ thuộc vào biến trở R. Giữ nguyên giá trị điện dung khi đó và thay đổi biến trở. Khi uAP lệch pha cực đại so với uAB thì UPB = U1. Khi (UAN.UNP) cực đại thì UAM = U2. Biết rằng
. Độ lệch pha cực đại giữa uAP và uAB gần giá trị nào nhất sau đây?
Đáp án đúng là: C
Quảng cáo
Đáp án cần chọn là: C
>> 2K9 Chú ý! Lộ Trình Sun 2027 - 1 lộ trình ôn đa kỳ thi (TN THPT, ĐGNL (Hà Nội/ Hồ Chí Minh), ĐGNL Sư Phạm, ĐGTD, ĐGNL Bộ Công an, ĐGNL Bộ Quốc phòngTD - Click xem ngay) tại Tuyensinh247.com. Cập nhật bám sát bộ SGK mới, Thầy Cô giáo giỏi, 3 bước chi tiết: Nền tảng lớp 12; Luyện thi chuyên sâu; Luyện đề đủ dạng đáp ứng mọi kì thi.
![]() |
![]() |
![]() |
![]() |
![]() |
![]() |
![]() |
![]() |
Hỗ trợ - Hướng dẫn
-
024.7300.7989
-
1800.6947
(Thời gian hỗ trợ từ 7h đến 22h)
Email: lienhe@tuyensinh247.com












