Cho tam giác ABC đều có tâm O, AB = 6a và các điểm M, N lần lượt thuộc các cạnh AB, AC mà AM = AN
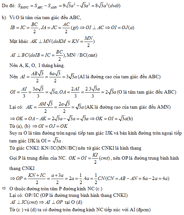
Cho tam giác ABC đều có tâm O, AB = 6a và các điểm M, N lần lượt thuộc các cạnh AB, AC mà AM = AN = 2a. Gọi I, J, K lần lượt là trung điểm của BC, AC và MN.
a) Chứng minh các điểm M, N, B, C cùng thuộc một đường tròn T. Tính diện tích tứ giác BMNC theo a.
b) Tính bán kính đường tròn ngoại tiếp tam giác IJK. Chứng minh đường tròn đường kính NC tiếp xúc với AI.
c) AE tiếp xúc với đường tròn T tại E (E, B cùng phía đối với AI). Gọi F là trung điểm OE, tính số đo của góc AFJ.
Quảng cáo
>> Học trực tuyến lớp 9 và Lộ trình UP10 trên Tuyensinh247.com Đầy đủ khoá học các bộ sách: Kết nối tri thức với cuộc sống; Chân trời sáng tạo; Cánh diều. Lộ trình học tập 3 giai đoạn: Học nền tảng lớp 9, Ôn thi vào lớp 10, Luyện Đề. Bứt phá điểm lớp 9, thi vào lớp 10 kết quả cao. Hoàn trả học phí nếu học không hiệu quả. PH/HS tham khảo chi tiết khoá học tại: Link
![]() |
![]() |
![]() |
![]() |
![]() |
![]() |
Hỗ trợ - Hướng dẫn
-
024.7300.7989
-
1800.6947
(Thời gian hỗ trợ từ 7h đến 22h)
Email: lienhe@tuyensinh247.com













