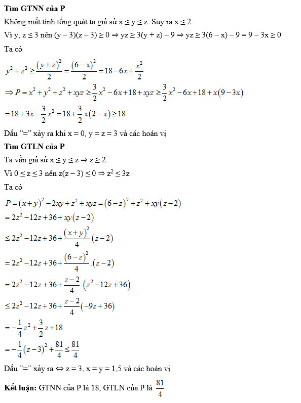
Giả sử x,y,z là các số thực thỏa mãn 0 ≤ x, y, z ≤ 3; x + y + z = 6 Tìm giá trị nhỏ nhất, giá
Giả sử x,y,z là các số thực thỏa mãn 0 ≤ x, y, z ≤ 3; x + y + z = 6
Tìm giá trị nhỏ nhất, giá trị lớn nhất của biểu thức P = x2 + y2 + z2 + xyz
Đáp án đúng là: A
Quảng cáo
Đáp án cần chọn là: A
>> Học trực tuyến lớp 9 và Lộ trình UP10 trên Tuyensinh247.com Đầy đủ khoá học các bộ sách: Kết nối tri thức với cuộc sống; Chân trời sáng tạo; Cánh diều. Lộ trình học tập 3 giai đoạn: Học nền tảng lớp 9, Ôn thi vào lớp 10, Luyện Đề. Bứt phá điểm lớp 9, thi vào lớp 10 kết quả cao. Hoàn trả học phí nếu học không hiệu quả. PH/HS tham khảo chi tiết khoá học tại: Link
![]() |
![]() |
![]() |
![]() |
![]() |
![]() |
Hỗ trợ - Hướng dẫn
-
024.7300.7989
-
1800.6947
(Thời gian hỗ trợ từ 7h đến 22h)
Email: lienhe@tuyensinh247.com











