Một con lắc lò xo gồm vật nặng m = 100 g gắn vào đầu dưới của lò xo có độ cứng k = 40 N/m.
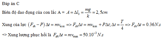
Một con lắc lò xo gồm vật nặng m = 100 g gắn vào đầu dưới của lò xo có độ cứng k = 40 N/m. Đầu trên của lò xo được treo vào 1 điểm cố định. Đang đứng yên ở vị trí cân bằng thì người ta nâng vật lên theo phương thẳng đứng đến vị trí lò xo không biến dạng rồi thả nhẹ. Tính xung của lực đàn hồi tác dụng lên vật khi vật đi từ vị trí thấp nhất đến vị trí cân bằng. Lấy g = 10 m/s2.
Đáp án đúng là: C
Quảng cáo
Đáp án cần chọn là: C
>> 2K9 Chú ý! Lộ Trình Sun 2027 - 1 lộ trình ôn đa kỳ thi (TN THPT, ĐGNL (Hà Nội/ Hồ Chí Minh), ĐGNL Sư Phạm, ĐGTD, ĐGNL Bộ Công an, ĐGNL Bộ Quốc phòngTD - Click xem ngay) tại Tuyensinh247.com. Cập nhật bám sát bộ SGK mới, Thầy Cô giáo giỏi, 3 bước chi tiết: Nền tảng lớp 12; Luyện thi chuyên sâu; Luyện đề đủ dạng đáp ứng mọi kì thi.
![]() |
![]() |
![]() |
![]() |
![]() |
![]() |
![]() |
![]() |
Hỗ trợ - Hướng dẫn
-
024.7300.7989
-
1800.6947
(Thời gian hỗ trợ từ 7h đến 22h)
Email: lienhe@tuyensinh247.com












