Nối hai đầu một máy phát điện xoay chiều một pha (bỏ qua điện trở thuần của các cuộn dây
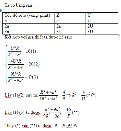
Nối hai đầu một máy phát điện xoay chiều một pha (bỏ qua điện trở thuần của các cuộn dây máy phát) vào hai đầu đoạn mạch mắc nối tiếp gồm điện trở R và cuộn cảm thuần. Khi rôto quay với tốc độ n vòng/phút thì công suất tiêu thụ của đoạn mạch là 16 W.Khi rôto quay với tốc độ 2n vòng/phút thì công suất tiêu thụ của đoạn mạch là 20 W.Khi rôto quay với tốc độ 3n vòng/phút thì công suất tiêu thụ của đoạn mạch xấp xỉ
Đáp án đúng là: C
Quảng cáo
Đáp án cần chọn là: C
>> 2K9 Chú ý! Lộ Trình Sun 2027 - 1 lộ trình ôn đa kỳ thi (TN THPT, ĐGNL (Hà Nội/ Hồ Chí Minh), ĐGNL Sư Phạm, ĐGTD, ĐGNL Bộ Công an, ĐGNL Bộ Quốc phòngTD - Click xem ngay) tại Tuyensinh247.com. Cập nhật bám sát bộ SGK mới, Thầy Cô giáo giỏi, 3 bước chi tiết: Nền tảng lớp 12; Luyện thi chuyên sâu; Luyện đề đủ dạng đáp ứng mọi kì thi.
![]() |
![]() |
![]() |
![]() |
![]() |
![]() |
![]() |
![]() |
Hỗ trợ - Hướng dẫn
-
024.7300.7989
-
1800.6947
(Thời gian hỗ trợ từ 7h đến 22h)
Email: lienhe@tuyensinh247.com












