Trong thí nghiêm Y - âng về giao thoa ánh sáng với nguồn ánh sáng trắng có bước sóng trong khoảng
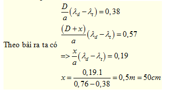
Trong thí nghiêm Y - âng về giao thoa ánh sáng với nguồn ánh sáng trắng có bước sóng trong khoảng 0,38 μm ≤ λ ≤ 0,76 μm, hai khe hẹp cách nhau 1 mm. Bề rộng quang phổ bậc 1 lúc đầu đo được 0,38 mm. Khi dịch màn ra xa hai khe thêm một đoạn thì bề rộng quang phổ bậc 1 trên màn đo được là 0,57 mm. Màn đã dịch chuyển một đoạn thẳng
Đáp án đúng là: D
Quảng cáo
Đáp án cần chọn là: D
>> 2K9 Chú ý! Lộ Trình Sun 2027 - 1 lộ trình ôn đa kỳ thi (TN THPT, ĐGNL (Hà Nội/ Hồ Chí Minh), ĐGNL Sư Phạm, ĐGTD, ĐGNL Bộ Công an, ĐGNL Bộ Quốc phòngTD - Click xem ngay) tại Tuyensinh247.com. Cập nhật bám sát bộ SGK mới, Thầy Cô giáo giỏi, 3 bước chi tiết: Nền tảng lớp 12; Luyện thi chuyên sâu; Luyện đề đủ dạng đáp ứng mọi kì thi.
![]() |
![]() |
![]() |
![]() |
![]() |
![]() |
![]() |
![]() |
Hỗ trợ - Hướng dẫn
-
024.7300.7989
-
1800.6947
(Thời gian hỗ trợ từ 7h đến 22h)
Email: lienhe@tuyensinh247.com












