Ở người, gen quy định ba nhóm máu gồm 3 alen ; kiểu gen quy định nhóm máu A; quy định nhóm máu
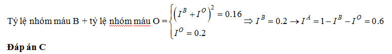
Ở người, gen quy định ba nhóm máu gồm 3 alen ; kiểu gen quy định nhóm máu A; quy định nhóm máu B; quy định nhóm máu AB; quy định nhóm máu O. Một quần thể có 3750 người, trong đó có 450 người nhóm máu B, 150 người nhóm máu O còn lại là nhóm máu A và AB. Tần số alen IA trong quần thể này là:
Đáp án đúng là: C
Quảng cáo
Đáp án cần chọn là: C
>> 2K9 Chú ý! Lộ Trình Sun 2027 - 1 lộ trình ôn đa kỳ thi (TN THPT, ĐGNL (Hà Nội/ Hồ Chí Minh), ĐGNL Sư Phạm, ĐGTD, ĐGNL Bộ Công an, ĐGNL Bộ Quốc phòngTD - Click xem ngay) tại Tuyensinh247.com. Cập nhật bám sát bộ SGK mới, Thầy Cô giáo giỏi, 3 bước chi tiết: Nền tảng lớp 12; Luyện thi chuyên sâu; Luyện đề đủ dạng đáp ứng mọi kì thi.
![]() |
![]() |
![]() |
![]() |
![]() |
![]() |
![]() |
![]() |
Hỗ trợ - Hướng dẫn
-
024.7300.7989
-
1800.6947
(Thời gian hỗ trợ từ 7h đến 22h)
Email: lienhe@tuyensinh247.com


) =0.04 => IO= 0.2
= 0.12










