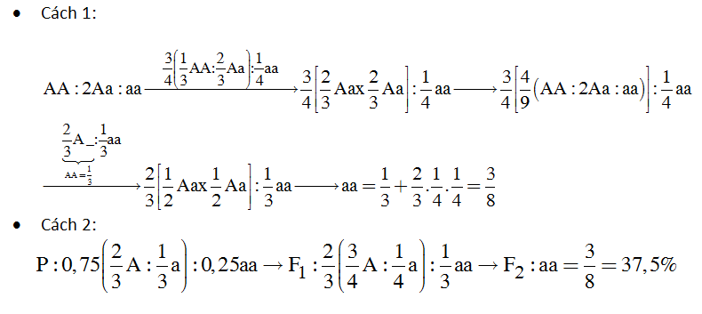
Trong một quần thể bướm sâu đo bạch dương (P) có cấu trúc di truyền là: 0,25AA: 0,5Aa: 0,25aa = 1
Trong một quần thể bướm sâu đo bạch dương (P) có cấu trúc di truyền là: 0,25AA: 0,5Aa: 0,25aa = 1 (A qui định cánh đen và a qui định cánh trắng). Nếu những con bướm cùng màu chỉ thích giao phối với nhau và quần thể không chịu sự tác động của các nhân tố tiến hóa khác thì theo lý thuyết, ở thế hệ F2, tỉ lệ bướm cánh trắng thu được là bao nhiêu?
Đáp án đúng là: A
Quảng cáo
Đáp án cần chọn là: A
>> 2K8 Chú ý! Lộ Trình Sun 2026 - 3IN1 - 1 lộ trình ôn 3 kì thi (Luyện thi 26+ TN THPT, 90+ ĐGNL HN, 900+ ĐGNL HCM, 70+ ĐGTD - Click xem ngay) tại Tuyensinh247.com.Đầy đủ theo 3 đầu sách, Thầy Cô giáo giỏi, luyện thi theo 3 giai đoạn: Nền tảng lớp 12, Luyện thi chuyên sâu, Luyện đề đủ dạng đáp ứng mọi kì thi.
![]() |
![]() |
![]() |
![]() |
![]() |
![]() |
![]() |
![]() |
Hỗ trợ - Hướng dẫn
-
024.7300.7989
-
1800.6947
(Thời gian hỗ trợ từ 7h đến 22h)
Email: lienhe@tuyensinh247.com













