Một con lắc lò xo có khối lượng vật nặng m = 200 g, độ cứng lò xo k = 20 N/m, dao động tắt
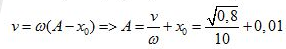
Một con lắc lò xo có khối lượng vật nặng m = 200 g, độ cứng lò xo k = 20 N/m, dao động tắt dần trên mặt phẳng nằm ngang có hệ số ma sát μ = 0,1. Nén lò xo vào một khoảng A (so với vị trí lò xo không biến dạng) rồi thả ra. Khi qua vị trí cân bằng lần đầu vật có tốc độ
m/s. Lấy g = 10 m/s2. Biên độ A ban đầu của vật là :
Đáp án đúng là: D
Quảng cáo
Áp dụng lí thuyết về dao động tắt dần của con lắc lò xo
Đáp án cần chọn là: D
>> 2K9 Chú ý! Lộ Trình Sun 2027 - 1 lộ trình ôn đa kỳ thi (TN THPT, ĐGNL (Hà Nội/ Hồ Chí Minh), ĐGNL Sư Phạm, ĐGTD, ĐGNL Bộ Công an, ĐGNL Bộ Quốc phòngTD - Click xem ngay) tại Tuyensinh247.com. Cập nhật bám sát bộ SGK mới, Thầy Cô giáo giỏi, 3 bước chi tiết: Nền tảng lớp 12; Luyện thi chuyên sâu; Luyện đề đủ dạng đáp ứng mọi kì thi.
![]() |
![]() |
![]() |
![]() |
![]() |
![]() |
![]() |
![]() |
Hỗ trợ - Hướng dẫn
-
024.7300.7989
-
1800.6947
(Thời gian hỗ trợ từ 7h đến 22h)
Email: lienhe@tuyensinh247.com












