Ở người nhóm máu A, B, O do các gen quy định. Gen quy định nhóm máu A đồng trội với gen
Ở người nhóm máu A, B, O do các gen
quy định. Gen
quy định nhóm máu A đồng trội với gen
quy định nhóm máu B, vì vậy kiểu gen

quy định nhóm máu AB, gen lặn
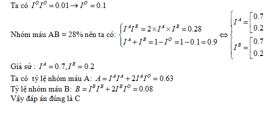
quy định nhóm máu O. Trong một quần thể người ở trạng thái cân bằng di truyền, người ta thấy xuất hiện 1% người có nhóm máu O và 28% người nhóm máu AB. Tỉ lệ người có nhóm máu A và B của quần thể đó lần lượt là
Đáp án đúng là: C
Quảng cáo
Đáp án cần chọn là: C
>> 2K9 Chú ý! Lộ Trình Sun 2027 - 1 lộ trình ôn đa kỳ thi (TN THPT, ĐGNL (Hà Nội/ Hồ Chí Minh), ĐGNL Sư Phạm, ĐGTD, ĐGNL Bộ Công an, ĐGNL Bộ Quốc phòngTD - Click xem ngay) tại Tuyensinh247.com. Cập nhật bám sát bộ SGK mới, Thầy Cô giáo giỏi, 3 bước chi tiết: Nền tảng lớp 12; Luyện thi chuyên sâu; Luyện đề đủ dạng đáp ứng mọi kì thi.
![]() |
![]() |
![]() |
![]() |
![]() |
![]() |
![]() |
![]() |
Hỗ trợ - Hướng dẫn
-
024.7300.7989
-
1800.6947
(Thời gian hỗ trợ từ 7h đến 22h)
Email: lienhe@tuyensinh247.com













