Trong đoạn mạch xoay chiều có R,L,C mắc nối tiếp, φ là độ lệch pha của điện áp tức thời
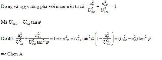
Trong đoạn mạch xoay chiều có R,L,C mắc nối tiếp, φ là độ lệch pha của điện áp tức thời giữa hai đầu mạch so với cường độ dòng điện tức thời qua đoạn mạch. Điện áp tức thời giữa hai đầu đoạn mach chứa cuộn thuần cảm L và tụ C là uLC. Điện áp tức thời và điện áp cực đại giữa hai đầu điện trở R là uR và u0R. Hệ thức đúng là:
Đáp án đúng là: A
Quảng cáo
Đáp án cần chọn là: A
>> 2K9 Chú ý! Lộ Trình Sun 2027 - 1 lộ trình ôn đa kỳ thi (TN THPT, ĐGNL (Hà Nội/ Hồ Chí Minh), ĐGNL Sư Phạm, ĐGTD, ĐGNL Bộ Công an, ĐGNL Bộ Quốc phòngTD - Click xem ngay) tại Tuyensinh247.com. Cập nhật bám sát bộ SGK mới, Thầy Cô giáo giỏi, 3 bước chi tiết: Nền tảng lớp 12; Luyện thi chuyên sâu; Luyện đề đủ dạng đáp ứng mọi kì thi.
![]() |
![]() |
![]() |
![]() |
![]() |
![]() |
![]() |
![]() |
Hỗ trợ - Hướng dẫn
-
024.7300.7989
-
1800.6947
(Thời gian hỗ trợ từ 7h đến 22h)
Email: lienhe@tuyensinh247.com












