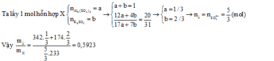
Một hỗn hợp X gồm Al2(SO4)3 và K2SO4, trong đó số nguyên tử oxi chiếm 20/31 tổng số nguyên tử
Một hỗn hợp X gồm Al2(SO4)3 và K2SO4, trong đó số nguyên tử oxi chiếm 20/31 tổng số nguyên tử có trong hỗn hợp. Hòa tan hỗn hợp X trên vào nước rồi cho tác dụng với dung dịch BaCl2 dư, hỏi khối lượng hỗn hợp ban đầu gấp bao nhiêu lần khối lượng kết tủa:
Đáp án đúng là: B
Quảng cáo
Đáp án cần chọn là: B
>> 2K9 Chú ý! Lộ Trình Sun 2027 - 1 lộ trình ôn đa kỳ thi (TN THPT, ĐGNL (Hà Nội/ Hồ Chí Minh), ĐGNL Sư Phạm, ĐGTD, ĐGNL Bộ Công an, ĐGNL Bộ Quốc phòngTD - Click xem ngay) tại Tuyensinh247.com. Cập nhật bám sát bộ SGK mới, Thầy Cô giáo giỏi, 3 bước chi tiết: Nền tảng lớp 12; Luyện thi chuyên sâu; Luyện đề đủ dạng đáp ứng mọi kì thi.
![]() |
![]() |
![]() |
![]() |
![]() |
![]() |
![]() |
![]() |
Hỗ trợ - Hướng dẫn
-
024.7300.7989
-
1800.6947
(Thời gian hỗ trợ từ 7h đến 22h)
Email: lienhe@tuyensinh247.com













