1) Từ 0,1 mol axit sunfuric đặc nóng, hãy viết 4 phương trình phản ứng điều chế lần lượt:
1) Từ 0,1 mol axit sunfuric đặc nóng, hãy viết 4 phương trình phản ứng điều chế lần lượt: 0,224 lít; 2,24 lít; 2,4 lít; 3,36 lít khí SO2 (đktc).
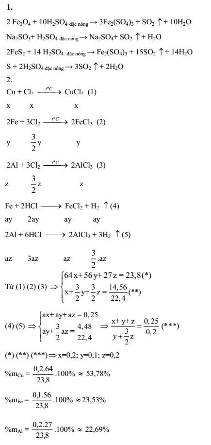
2) Cho 23,8 gam hỗn hợp X gồm Cu, Fe, Al tác dụng vừa hết 14,56 lít Cl2 (đktc) thu được hỗn hợp muối Y. Mặt khác cứ 0,25 mol hỗn hợp X tác dụng với dung dịch HCl dư thu được 4,48 lít H2 (đktc).
a) Tính % khối lượng mỗi kim loại trong hỗn hợp X.
b) Hòa tan hết Y vào H2O được dung dịch Z, cho m gam Fe vào dung dịch Z thu được dung dịch T. Hãy tìm giá trị của m sao cho:
- Dung dịch T chứa hai muối.
- Dung dịch T chứa ba muối.
Quảng cáo
>> Học trực tuyến lớp 9 và Lộ trình UP10 trên Tuyensinh247.com Đầy đủ khoá học các bộ sách: Kết nối tri thức với cuộc sống; Chân trời sáng tạo; Cánh diều. Lộ trình học tập 3 giai đoạn: Học nền tảng lớp 9, Ôn thi vào lớp 10, Luyện Đề. Bứt phá điểm lớp 9, thi vào lớp 10 kết quả cao. Hoàn trả học phí nếu học không hiệu quả. PH/HS tham khảo chi tiết khoá học tại: Link
![]() |
![]() |
![]() |
![]() |
![]() |
![]() |
Hỗ trợ - Hướng dẫn
-
024.7300.7989
-
1800.6947
(Thời gian hỗ trợ từ 7h đến 22h)
Email: lienhe@tuyensinh247.com












